3.2. Средства и методы, развивающие выносливость аэробно-анаэробной направленности
Основным общеразвивающим средством воспитания аэробно-анаэробной выносливости спортсменов является интервальная нагрузка, позволяющая достичь интенсивности на уровне порога анаэробного обмена, включающая интервальный бег или прыжки по схеме: 5 мин работа – 5 мин отдых.
В процессе развития смешанной выносливости необходимо обеспечить тренировочные воздействия на факторы, которые ограничивают ее проявление:
• развитие мощности функциональных систем аэробноанаэробного энергообеспечения;
• развитие емкости смешанного источника энергообеспечения. Характеризуется способностью человека дольше выполнять работу на максимальном уровне потребления кислорода;
• совершенствование подвижности функциональных систем аэробно-анаэробного энергообеспечения;
• улучшение функциональной и технической экономичности. Характеризуется уменьшением затрат энергии на единицу стандартной работы;
• повышение мощности и емкости буферных систем организма и его реализационных возможностей. Характеризуется способностью человека переносить изменения во внутренней среде организма.
Наиболее эффективно указанные задачи могут быть решены интервальным и строго регламентированным методом тренировки.
При определении длительности тренировочных заданий по развитию смешанной выносливости необходимо учитывать время и пути образования энергообеспечения мышечной работы.
В зависимости от уровня тренированности спортсмена ЧСС находится в диапазоне от 170 до 185 уд./мин. Этот режим нагрузки целесообразно применять в работе с физически средне– и хорошо подготовленными спортсменами, которые прошли качественную подготовку в режиме собственно аэробного энергообеспечения.
Развитие смешанной выносливости целесообразно начинать с применения интервального метода тренировки. Оптимальная продолжительность упражнения: 5 мин – работа, 5 мин – отдых, общая нагрузка – 35 мин. Подходить к оптимальной продолжительности такой нагрузки нужно постепенно. Следует помнить, что усталость больше зависит от интенсивности, чем от продолжительности нагрузки. Поэтому сначала необходимо достичь пятиминутной продолжительности нагрузки на нижней границе ее действенной интенсивности. После этого постепенно повышают ее интенсивность до оптимального состояния, стараясь работать на уровне достижения ПАНО, а интенсивность работы должна быть на уровне 75–85 % максимальных показателей потребления кислорода.
Определение рациональной интенсивности нагрузки в необходимых границах потребления кислорода можно осуществлять по показателям ЧСС, поскольку известно, что смешанные механизмы энергообеспечения включаются при ЧСС от 170 уд./мин. При планировании интенсивности работы надо учитывать, что тренировочные нагрузки, которые вызовут возрастание ЧСС до 170 уд./мин, недостаточно активизируют функции сердечно-сосудистой и других вегетативных систем, поэтому нагрузки должны быть на уровне 170–185 уд./мин, что стимулирует механизмы аэробно-анаэробного энергообеспечения.
Метод интервальной тренировки позволяет эффективно решать задачи развития аэробно-анаэробной выносливости. Наиболее эффективно совершенствуются реализационные возможности организма благодаря неуклонному возрастанию интенсивности нагрузки в ходе выполнения тренировочного задания. Интенсивность может возрастать плавно или скачкообразно в границах одной зоны энергообеспечения или в границах двух сопредельных зон.
Путем многократных повторных растягивающих воздействий в интервалах отдыха происходит постепенная адаптация сердца. Оно становится более мощным, способным перекачивать больше крови и поставлять больше кислорода к работающим мышцам.
Развитию аэробно-анаэробной выносливости целесообразно посвящать отдельные занятия. Оптимальное количество занятий в недельном цикле – 2–3; оно зависит от цели, с которой осуществляется развитие аэробно-анаэробной выносливости, индивидуального уровня физической подготовленности и т. п.
Восстановление после большой нагрузки по развитию смешанной выносливости может длиться до 2-х суток. Поэтому в недельном цикле следует органически объединять тренировки с большими, средними и умеренными нагрузками.
Тренировочные программы составляются на 4–6 недель, а в дальнейшем систематически обновляются. Сначала достигают оптимального объема упражнений на нижней границе развивающей интенсивности. Затем, в соответствии с ростом тренированности, постепенно повышают интенсивность до оптимальной ее величины (ПАНО).
Эффективность аэробно-анаэробных средств и методов тренировки
Тренировки аэробно-анаэробной направленности является логическим продолжением предыдущего этапа аэробной работы. Основная задача данного алгоритма – проведение тренировочных занятий на верхних границах ЧСС спортсменов, обеспечивающих аэробную производительность организма. Продолжительность упражнения должна соответствовать длительности схватки (5 мин), число серий – количеству схваток в соревновании, т. е. семи, а средняя ЧСС – в пределах 161–185 уд./мин.
Такая работа позволит значительно расширить аэробный компонент работоспособности организма дзюдоистов и, за счет увеличения окислительных возможностей мышечной системы, повысить порог анаэробного обмена.
В процессе развития выносливости специальной направленности необходимо обеспечить тренировочные воздействия на факторы, которые ограничивают ее проявление: увеличить дыхательный коэффициент дзюдоистов, который складывается из отношения количества диоксида углерода к количеству потребляемого кислорода на уровне легких. Это позволит выполнять работу на верхней границе аэробного энергообеспечения организма. Решение данной задачи создаст условия для максимального расширения аэробных возможностей организма и использования всех механизмов кислородного окисления. Затем следует увеличить диффузию кислорода в кровь. В результате применения смешанной нагрузки происходит значительное различие парциальных давлений газов в альвеолах, и в крови создается градиент давления через легочную мембрану. Это является основой для значительного увеличения диффузии кислорода и диоксида углерода.
Одной из наиболее важных адаптационных реакций на нагрузку аэробно-анаэробной направленности является увеличение числа капилляров вокруг каждого мышечного волокна. Чем больше спортсмен тренируется в данном режиме, тем больше растет их количество. Увеличение капилляризации начинается при аэробной направленности нагрузки, но основной рост происходит в аэробно-анаэробном режиме. Это улучшает газо– и теплообмен, ускоряет выделение продуктов распада и обмен питательных веществ между кровью и работающими мышечными волокнами, что, в свою очередь, обеспечивает подготовку внутренней среды для образования энергии и выполнения мышечных сокращений. Дальше происходит повышение эффективности митохондриального дыхания, что обеспечивается совершенствованием окислительных возможностей работающих мышц. Аэробно-анаэробная тренировка приводит к увеличению размеров и количества митохондрий скелетных мышц, что повышает эффективность ее окислительного метаболизма. Интенсивность этих изменений возрастает в результате повышения производительности митохондрий. Окислительное расщепление источников энергии и конечное образование АТФ зависят от действия митохондриальных ферментов. Активность этих ферментов увеличивается вследствие тренировки аэробно-анаэробной направленности.
И, наконец, происходит рост окислительных ферментов, обеспечивающих энергетический потенциал мышцы. Тренировка аэробно-анаэробной направленности оказывает значительное воздействие на активность таких мышечных ферментов, как сукцинатдегидрогеназа и цитратсинтаза, улучшающих аэробные возможности, так и креатинфосфокиназа и дегидрогеназа, повышающих анаэробные процессы. О возрастании активности этих ферментов в результате тренировок свидетельствуют как увеличение количества и размер мышечных митохондрий, так и улучшение способности образовывать АТФ анаэробными механизмами. Возрастание активности ферментов совпадает с повышением максимального потребления кислорода. Эти изменения можно рассматривать как имеющие определенные значения для утилизации кислорода тканями во время мышечной работы и для обеспечения экономии расходования гликогена.
Таким образом, тренировка в аэробно-анаэробном режиме увеличивает количество капилляров в работающих мышцах, улучшает работу окислительных ферментов, что повышает порог анаэробного обмена и создает благоприятные условия для перехода к более напряженной работе гликолитического характера.
С целью проверки эффективности средств, используемых для развития аэробно-анаэробного компонента выносливости дзюдоистов, были проведены два эксперимента, в которых применялась тренировка в течение 35 мин интервальным методом по схеме: 5 мин нагрузка – 5 мин отдых. В эксперименте использовались следующие средства:
• интервальный бег по пересеченной местности;
• прыжки через скакалку.
Основной целью наших исследований было повышение общего уровня работоспособности всех испытуемых и определение эффективности предлагаемых тренировочных средств для увеличения смешанного компонента выносливости.
Проведенные нами исследования включали в себя четырехнедельные циклы занятий, в которых нагрузка на развитие выносливости давалась через день и состояла из тренировочных заданий, направленных на развитие выносливости. После использования одного средства делался месячный перерыв и применялось следующее средство.
Показатели аэробно-анаэробной выносливости после интервального бега
Для определения влияния нагрузки в виде интервального бега был проведен анализ изменения процентного соотношения частоты сердечных сокращений в ходе всего тренировочного процесса (рис. 12).
Из рис. 12 видно, что график имеет две вершины на уровне ЧСС 120 и 170 уд./мин. Это говорит о том, что в результате тренировочных воздействий организм дзюдоистов при начале нагрузки выходил на минимальную ЧСС 120 уд./мин и, быстро пройдя интервал пульса от 130 до 160 уд./мин, основную работу выполнял на ЧСС 170 уд./мин, незначительно превышая его до ЧСС 190 уд./мин. Эти параметры подтверждает и средняя ЧСС.
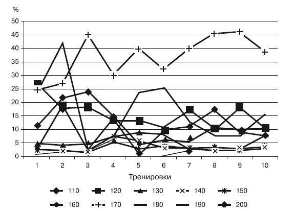
Анализ рис. 13 показывает, что в процессе тренировочного цикла увеличение работы, выполненной на уровне ЧСС 170 уд./ мин, изменялось в гетерохромном режиме. В начале цикла нагрузка возрастает через тренировку, после шестого занятия имеет тенденцию к постепенному увеличению и на последнем занятии уменьшается, уступая место нагрузке на уровне ЧСС 180 уд./мин.

Рис. 12. Показатели ЧСС в процессе интервального бега в аэробно-анаэробном режиме

Рис. 13. Процентное соотношение ЧСС в тренировочном цикле
Такие изменения говорят о том, что организм в ходе выполнения предложенной нагрузки вырабатывал адаптационные механизмы на протяжении девяти тренировок в аэробно-анаэробном режиме и к десятому занятию был готов к переходу на более высокой уровень нагрузки, где большее значение приобретают гликолитические механизмы энергообеспечения, и нагрузка будет носить анаэробно-аэробную направленность.
На рис. 14 видно, как изменялся объем выполненной работы и увеличивалась концентрация лактата в крови дзюдоистов. До пятой тренировки изменения не имеют какую-либо зависимость, далее объем выполненной работы и лактат крови получают разнонаправленное развитие: объем работы увеличивается, а лактат крови уменьшается. Если учесть, что ЧСС в этот период тоже увеличивается (рис. 12), то можно говорить о том, что порог аэробно-анаэробной работоспособности дзюдоистов увеличился.

Рис. 14. Изменение концентрации лактата и объема выполненной работы
В результате проведенной работы были получены данные, характеризующие изменения в дыхательной системе спортсменов (табл. 11). После интервального бега незначительно ухудшились показатели форсированной жизненной емкости легких и эффективности мышц выдоха – на 2–3%; эффективность мышц вдоха осталась без изменения; легочная мощность и бронхиальная проходимость улучшились на 20 и 15 % соответственно, а максимальная вентиляция легких – на 9,2 %.
Таким образом, можно утверждать, что развитие аэробноанаэробного компонента выносливости с помощью интервального бега оказывает на организм дзюдоистов нагрузку на уровне не ниже 170 уд./мин средней ЧСС, при увеличении лактата крови до 6,9 ммоль/л, что приводит к увеличению бронхиальной проходимости, легочной мощности и максимальной вентиляции легких.
Таблица 11
Динамика показателей системы дыхания дзюдоистов после интервального бега (р<0,05)

Показатели аэробно-анаэробной выносливости после прыжковой нагрузки
Для определения влияния прыжковой нагрузки был проведен анализ изменения процентного соотношения частоты сердечных сокращений (ЧСС) в ходе всего тренировочного процесса (рис. 15).
Из рис. 15 видно, что график имеет постепенную тенденцию к увеличению ЧСС до 180 уд./мин. Это говорит о том, что основное тренировочное воздействие (32,4 %) на организм дзюдоистов происходило на этом уровне ЧСС, незначительно превышая его (2,6 %) до ЧСС 190 уд./мин. Таким образом, в период прыжковой нагрузки аэробно-анаэробной направленности минимальная средняя ЧСС составила 166,6 уд./мин, средняя ЧСС -172,8 уд./мин и средняя максимальная – 182,3 уд./мин.
Анализ рис. 16 показывает, что в процессе прыжкового тренировочного цикла ЧСС изменялась следующим образом.

Рис. 15. Динамика показателей ЧСС в процессе прыжковой нагрузки в аэробно-анаэробном режиме

Рис. 16. Процентное соотношение ЧСС в тренировочном цикле
Во время тренировочной работы ЧСС в 110–120 уд./мин и до 160 уд./мин составила примерно 10–11 % времени; от 130 до 150 уд./мин – примерно от 5 до 7 %. Начиная со 170 уд./мин процент выполненной работы повышается до 17,5 %, а при 180 – до 32,4 % и, наконец, при ЧСС 190 уд./мин нагрузка резко падает до 2,6 %.
Такие изменения говорят о том, что организм в ходе выполнения прыжковой нагрузки вырабатывал адаптационные механизмы на более высоком уровне ЧСС в аэробно-анаэробном режиме.
На рис. 17 видно, как изменялся объем выполненной работы и увеличивалась концентрация лактата в крови дзюдоистов. Так, на второй тренировке лактат понизился на 0,9 ммоль/л, что можно объяснить привыканием организма к новым условиям тренировки, т. к. на этом же рубеже уменьшился объем выполненной работы. Начиная с третьей тренировки, концентрация лактата в крови резко, а объем выполненной работы постепенно увеличиваются до шестой тренировки, где концентрация лактата сначала резко, а затем постепенно начинает снижаться. И даже при резком увеличении объема выполненной работы на десятой тренировке концентрация лактата незначительно снижается. Таким образом, можно констатировать, что порог аэробно-анаэробной работоспособности дзюдоистов увеличился.

Рис. 17. Изменение концентрации лактата и объема выполненной работы
В результате проведенной работы были получены данные, характеризующие изменения в дыхательной системе спортсменов (табл. 12).
После применения прыжковой нагрузки незначительно улучшились показатели форсированной жизненной емкости легких, бронхиальной проходимости и легочной мощности (от 1,2 до 6,4 %), эффективность мышц вдоха и выдоха уменьшилась на 1,4 и 8,33 % соответственно, значительно возросла максимальная вентиляция легких – на 19,9 %.
Все это дает основание утверждать, что развитие аэробно-анаэробного компонента выносливости с помощью прыжковой нагрузки оказывает на организм дзюдоистов нагрузку на уровне 172 уд./мин средней ЧСС, при увеличении лактата крови до 8 ммоль/л, что приводит к увеличению бронхиальной проходимости, легочной мощности и максимальной вентиляции легких.
Таблица 12
Динамика показателей системы дыхания дзюдоистов после прыжковой тренировки (р<0,05)

Для того чтобы определить более эффективное средство развития аэробно-анаэробного компонента выносливости, был проведен сравнительный анализ между показателями интервального бега и прыжковой подготовкой. Тренировки были проанализированы по трем уровням ЧСС: от 110 до 150 уд./мин, когда организм спортсменов работал в аэробном энергетическом режиме и вышел на уровень смешанного обеспечения энергией; от 160 до 180 уд./мин, когда дзюдоисты работали в аэробно-анаэробном энергетическом режиме тренировки, и от 190 до 200 уд./мин, когда тренировка переходила в гликолитический энергетический режим. Кроме того, анализировались уровень максимальной, минимальной и средней ЧСС и количество выделения лактата в кровь при выполнении работы. Были проведены сравнения изменения показателей дыхания.
Анализ табл. 13 показал, что при ЧСС от 110 до 150 уд./мин беговая тренировка проходила в пределах нагрузки от 12,7 до 3,2 % и наблюдалось выраженное снижение пульсовой стоимости нагрузки. В прыжковой тренировке за тот же процентный интервал времени пульсовая стоимость нагрузки изменялась гетерохромно: при ЧСС 110 уд./мин нагрузка составила 9,3 %, а при 120 уд./мин увеличилась до 10,3 %, при 130 и 140 уд./мин она снизилась до 6,4 и 4,9 %, а затем возросла до 6,7 %. При ЧСС от 160 до 200 уд./мин в беговой тренировке нагрузка начала постепенно возрастать – с 8,6 % до 37 %; при 170 и 180 уд./мин – до 23,5 % и резко уменьшилась при 190 и 200 уд./мин – до 1,2 и 1,8 % соответственно. В прыжковой тренировке в этот же период произошло более резкое повышение пульсовой нагрузки: так при ЧСС 160 уд./мин отношение было 10,9 %, при 170 уд./мин – уже 17,5 %, при 180 уд./мин оно составило 32,4 %, а затем произошло резкое снижение до 2,6 % (при ЧСС 190 уд./мин). На уровне 200 уд./мин ЧСС зарегистрирована не была.
Таблица 13
Показатели процентного отношения ЧСС после интервального бега и прыжковой нагрузки

Таким образом, видно, что при беговой нагрузке при ЧСС от 110 до 150 уд./мин было затрачено 40,6 % общего времени тренировки. В прыжковой тренировке в тех же диапазонах ЧСС было затрачено 37,6 % времени. Можно констатировать, что при прыжковой тренировке спортсмены быстрее выходят на уровень аэробно-анаэробного энергетического обмена.
В беговой тренировке при ЧСС от 160 до 180 уд./мин спортсмены выполняли нагрузку 69,1 % от общего времени тренировки. В прыжковой тренировке в тех же диапазонах ЧСС было затрачено 60,8 % времени. Отсюда следует, что в беговой тренировке спортсмены на 8,3 % больше времени выполняли нагрузку в смешанном энергетическом режиме.
В гликолитическом энергетическом режиме дзюдоисты выполнили примерно одинаковую работу на уровне 3 %.
Анализируя табл. 14, где представлены результаты максимальной, минимальной, средней ЧСС и показатели лактата, можно отметить следующее. Максимальная ЧСС в беговой и прыжковой тренировках примерно одинаковая и составляет 182–183 уд./мин. Минимальная ЧСС больше в беговой тренировке примерно на 10 уд./мин и составляет приблизительно 171 уд./мин, а в прыжковой тренировке – 161 уд./мин. Средняя ЧСС выше также в беговой нагрузке (на 4 уд./мин) и составляет 177 уд./мин, в прыжковой – 172,8 уд./мин. Показатель содержания лактата в крови оказался выше в прыжковой тренировке (на 1 ммоль/л) и составил 8 ммоль/л, при беговой же нагрузке – 6,9 ммоль/л.
Таблица 14
Показатели ЧСС после интервального бега и прыжковой нагрузки

Рассмотрим показатели системы дыхания после интервального бега и прыжковой нагрузки. Из табл. 15 видно, что после применения интервального бега форсированная жизненная емкость легких уменьшается на 2,14 %, а прыжковая нагрузка увеличивает этот показатель на 1,23 %. Применение этих видов нагрузки приводит к уменьшению эффективности вдоха и выдоха, причем прыжковая значительно отрицательнее влияет на выдох – на 8,3 %. Беговая нагрузка значительно улучшает бронхиальную проходимость и легочную мощность, а прыжковая больше увеличивает максимальную вентиляцию легких.
Таблица 15
Показатели системы дыхания после интервального бега и прыжковой нагрузки

Рассмотрим насыщение крови кислородом в процессе интервального бега и прыжковой тренировки (табл. 16).
Таблица 16
Насыщение крови кислородом в процессе интервального бега и прыжковой тренировки

Таким образом, из таблицы 16 видно, что базовое и минимальное насыщение крови кислородом между интервальным бегом и прыжковой тренировкой имеют достоверное различие, и беговая нагрузка превышает прыжковую на 1 % и 22 % соответственно. Показатели средней и средней < 88 % сатурации имеют недостоверное различие, но и здесь беговая нагрузка также превышает показатели прыжковой тренировки – на 2,4 % и 1,9 % соответственно. Это свидетельствует о том, что беговая нагрузка проходит на более высоком уровне насыщения крови кислородом организма дзюдоистов и развивает аэробно-анаэробные механизмы, а прыжковая тренировка более соответствует анаэробно-аэробным возможностям.
Итак, после сравнительного анализа можно сделать следующее обобщение. Интервальный бег и прыжковая нагрузка примерно одинаковы по эффективности применения. Учитывая, что смешанный режим энергетического обмена состоит их двух компонентов аэробно-анаэробного характера, когда аэробные процессы действуют еще в полную силу, но уже начинает сказываться недостаток кислорода, и анаэробно-аэробного, когда гликолитический режим уже включился, но аэробные процессы еще оказывают свое влияние на обеспечение организма энергией. Исходя из этого, можно рекомендовать применение интервального бега в период развития аэробно-анаэробного компонента смешанного режима энергетического обеспечения, т. к. он значительно улучшает бронхиальную проходимость и легочную мощность, сдерживая выделение лактата в кровь до 7 ммоль/л, и его работа проходит на более высоком уровне насыщения крови кислородом. Прыжковую тренировку лучше использовать после периода применения интервального бега, улучшая анаэробно-аэробный компонент смешанной выносливости, т. к. она значительнее улучшает максимальную вентиляцию легких и повышает концентрацию лактата в крови до 8 ммоль/л и проходит при более низком уровне сатурации кислорода.
Более 800 000 книг и аудиокниг! 📚
Получи 2 месяца Литрес Подписки в подарок и наслаждайся неограниченным чтением
ПОЛУЧИТЬ ПОДАРОК