Раздел 4. Техника выведения из равновесия
Биомеханические способы выведения противника из равновесия могут быть самыми разными. Важно то, что потеря противником равновесия предоставляет прекрасные возможности выполнить бросок любым доступным способом, так чтобы он оказался на земле. Иногда вы можете ограничиться самыми простыми действиями, просто не позволяя противнику восстановить равновесие.
В основе техники выведения из равновесия лежит секрет выполнения бросков в борьбе.
Для выведения противника из равновесия можно использовать любые способы и действия. При этом выведение из равновесия может и предшествовать захватам, и наоборот, осуществляться вследствие использования этих захватов.
Основными способами выведения из равновесия являются: рывок, сбивание, скручивание, вращение, наклон, подъем, удар, толчок, давление, удержание, вращение, вовлечение, концентрация силы, осаживание, раскачивание и другие. Активно используется также момент динамики движения и действий самого противника.
Выведение из равновесия для выполнения броска или иного приема, обеспечивается не отдельным действием, а системой способов воздействия на противника. При этом важное значение имеет тактика действий, обеспечивающих управление противником с целью лишения его равновесия в ту или иную необходимую для проведения приема сторону.
Арсенал способов выведения из равновесия в боевых разделах несколько шире, чем в спортивных.
Здесь особенно важно использовать технику выведения из равновесия вне контакта с противником, а затем и продолжение действий по выведению из равновесия с использованием захватов или техники перенаправления силы и вектора движения.
Поэтому помимо техники выведения противника из равновесия с использованием техники захватов, активно используются и иные способы воздействия на противника, в том числе различные удары руками, ногами, головой и корпусом, отвлекающие и шокирующие удары, а также целевое воздействие на уязвимые части тела и точки.
Отдельно выделяют действия, отвлекающие противника[22] и обеспечивающие вследствие этого проведение броска.
Пример отвлекающего действия, обеспечивающего отвлечение внимания противника и выведение его из равновесия: неожиданный бросок рук в лицо – фото 1.
Фото 1
Бросок противника на землю может быть произведен без использования захватов, что особенно характерно для такой техники борьбы, как подсечка, которая проводится с использованием захватов или без них. Одновременно могут использоваться техники отвлекающих действий или действий, направленных на использование ошибок или движений противника.
В любом случае для проведения приема необходимо использовать неустойчивое положение противника или потерю им равновесия. Это мгновение может быть очень коротким, а, значит, его необходимо обязательно использовать.
Пример выполнения подсечки под переднюю ногу противника изнутри после выполнения отвлекающих действий – фото 2—4.

Фото 2

Фото 3

Фото 4
Пример выполнения подсечки под левую выставленную вперед ногу противника в контратакующем движении на опережение его действий – фото 5—8.

Фото 5

Фото 6

Фото 7

Фото 8
Пример проведения подсечки под опорную левую ногу противника с использованием техники выведения его из равновесия разнонаправленным движением двумя руками – фото 9—12.

Фото 9

Фото 10

Фото 11

Фото 12
В данном случае речь идет о выведении противника из равновесия вследствие его собственных действий и действий противоборствующей стороны.
Противник может потерять равновесие в атаке, просто провалившись в пустоту. Чтобы вывести противника из равновесия, иногда достаточно уйти с линии атаки или коротким движением изменить траекторию его движения.
Пример ухода с линии атаки отходом назад, после чего противник оказывается в неустойчивом положении в момент или после нанесения удара или теряет равновесие – фото 13.

Фото 13
Пример ухода с линии атаки противника ударом ногой с отбивом рукой его бьющей ноги и выведение его из равновесия перенаправлением вектора движения с проведением броска противника на спину – фото 14— 20.

Фото 14

Фото 15

Фото 16

Фото 17

Фото 18

Фото 19

Фото 20
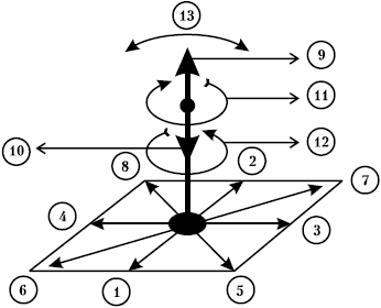
Если представить направления выведения из равновесия противника, как статичного объекта[23] , то можно использовать схему, представленную на рис. 1.

Рис. 1
• 0—1 – выведение из равновесия вперед.
• 0—2 – выведение из равновесия назад.
• 0—3 – выведение из равновесия влево.
• 0—4 – выведение из равновесия вправо.
• 0—5 – выведение из равновесия вперед влево.
• 0—6 – выведение из равновесия вперед вправо.
• 0—7 – выведение из равновесия назад влево.
• 0—8 – выведение из равновесия назад вправо.
• 0—9 – выведение из равновесия движением вверх.
• 10—0 – выведение из равновесия вниз.
• 11 – выведение из равновесия скручиванием по часовой стрелке.
• 12 – выведение из равновесия скручиванием против часовой стрелки.
• 0—13 – выведение из равновесия опрокидыванием.
Наклон плоскости вращения или наклон оси вращения значительно усложняет систему, описывающую направления техники выведения из равновесия.
Эта простая схема позволяет обеспечить системный подход и наглядность в обучении технике вариативности выведения противника из равновесия при изучении техники бросков.
В отличие от спортивных видов борьбы, где основным способом выведения из равновесия является выведение из равновесия для проведения броска с помощью различных захватов, в боевых и прикладных системах можно использовать любые способы. С методической точки зрения наиболее правильным решением являются переход от изучения способов выведения из равновесия к овладению основными принципами выведения из равновесия. Такими известными принципами является принцип поглощения силы, принцип дзюдо «поддаться, чтобы победить», принцип мягкости, превращающейся в силу, принцип вращения и вовлечения в него противника и многие другие способы воздействия и управления противником.
Пример выведения противника из равновесия вращением – фото 21— 22.

Фото 21

Фото 22
Некоторые советы по выведению из равновесия:
• Действуйте на опережение;
• Думайте и за себя и за противника;
• Концентрируйте все силы в одну точку;
• Соединение силы, темпа, ритма и импульса движения в одну волну с противником;
• Ловите момент;
• Вовлекайте противника во вращение по спирали. Вовнутрь или наружу;
• Соблюдайте принцип сопровождения. «Ведите» противника, пока он не потеряет равновесия и не упадет;
• Не позволяете противнику восстанавливать равновесие;
• Объединяйте свои силы с противником;
• Если действовать правильно, противник потеряет равновесие сам;
• Используйте принцип перенаправления силы и вектора движения силы;
• Соединяйте принцип применения силы с принципом лишения или отказа от силы.
При определенном уровне подготовки техника выведения из равновесия может послужить причиной падения противника.
Пример выведения противника из равновесия и бросок опрокидыванием его вперед рывком двумя руками на себя – фото 23— 24.

Фото 23

Фото 24
Пример выведения и броска противника и опрокидывания его на спину встречным ударом основанием ладони вперед в голову с одновременным уходом с линии атаки вперед влево – фото 25— 26.

Фото 25

Фото 26
Для выведения противника из равновесия важно использовать волевое давление на него, ментальный навык вовлечения его в движение, создание и формирование у него иллюзий.
Более 800 000 книг и аудиокниг! 📚
Получи 2 месяца Литрес Подписки в подарок и наслаждайся неограниченным чтением
ПОЛУЧИТЬ ПОДАРОК