1.2.2. Оценка двигательных способностей человека
К труднейшим задачам педагогического контроля следует отнести оценку двигательных способностей юных футболистов. Происходит это из-за двух принципиальных положений. Во-первых, до сих пор не установлены соотношения между двигательными способностями и координационными возможностями, лежащими, несомненно, в их основе. Во-вторых, используемые в исследованиях двигательных способностей тесты Озерецкого, Джонсона, Джонсона-Метени, Браса состоят из показателей, оценивающих двигательные умения и, к тому же, обусловлены программой физического воспитания в школе. В этой связи наличие периодического, постоянного признака исключается.
В последние годы увеличилось количество научных работ, посвященных методам отбора детей в спортивные игры, в том числе и в футбол. Авторы часто предлагают различные методы отбора, опираясь чаще всего на результаты собственных исследований.
Отбор перспективных футболистов происходят чаще всего в процессе многолетней подготовки. На первом этапе критериями отбора служат анатомо-морфологические признаки, данные физической подготовленности, физиологические, психологические показатели. Кроме того, современные исследования немыслимы без генетического анализа, способствующего подтверждению или опровержению правильности выбранной специализации или амплуа (В.П. Губа, 2012–2015). Эти же данные используются и на следующих этапах многолетней подготовки.
Эффективность исследований с целью отбора зависит от диапазона подобранных испытаний (тестов), характеризующихся высокой информативностью и прогностичностью. В программу тестирования необходимо включать те показатели, которые являются наиболее существенными для данного вида спорта. По мнению В.Н. Платонова (1984), В.П. Губы (1986) влияние физических качеств и морфофункциональных особенностей на эффективность игры в футбол следующее: телосложение, сила и гибкость имеют среднее влияние, а выносливость, быстрота и двигательная координация – существенное.
Большинство авторов, занимающихся этой проблематикой, суть отбора видят в длительном наблюдении за динамикой прироста объективных показателей контроля. Темпы их прироста могут свидетельствовать об эффективности процесса обучения и тренировки, а также об особых способностях спортсменов.
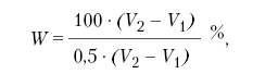
Величины прироста отдельных показателей чаще всего определяются по формуле Броди:

где V1 и V2 – начальный и конечный результаты;
W – величина прироста.
Анализируя прирост спортивных результатов, следует иметь в виду проявление нескольких типов динамики:
– прямолинейные изменения: характеризуются пропорциональным приростом показателей, контролирующих способности в соответствии с возрастом;
– криволинейные изменения: характеризуются тем, что с возрастом испытуемых прирост показателей происходит с замедлением, а в дальнейшем стабилизируется;
– стабильные изменения: характеризуются относительным постоянством показателей во всех возрастных группах.
Применение в контроле слишком большого количества разных показателей с одной стороны повышает прогностическую значимость результатов, а с другой – часто вносит беспорядок в установление соответствующей оценки. Встречаются также случаи, когда у одного и того же футболиста бывают очень высокие показатели одних и, в то же время, низкие других двигательных способностей. Исходя из этого, предлагается применять комплексную систему оценки перспективности молодых футболистов. Эта система должна включать ряд интегральных показателей, позволяющих учитывать: биологический возраст (с учетом фаз развития акселерации и ретардации), генетику, состояние и темпы повышения спортивной квалификации, уровень специальной подготовленности, состояние системы энергообеспечения и т. п. Для этого предлагается разработать оценочные шкалы, позволяющие сформулировать интегральные прогностические оценки.
К существующей концепции диагностирования «футбольных талантов» авторы проводимых исследований относится с определенной сдержанностью. Во-первых, очень большое количество показателей вызывает информационный хаос, не каждый тренер способен правильно интерпретировать полученные данные. Во-вторых, процедура снятия требуемых параметров не во всех условиях доступна.
Предлагаемый авторами подход состоит в том, чтобы найти параметры, или даже один показатель, изменяемость которого в различные периоды онтогенеза являлась постоянной, или же если и изменялась, то в минимальных пределах.
Многие тренеры и научные сотрудники очень много времени и энергии уделяют определению «выдуманных двигательных качеств», часто не свойственных и редко применяемых в области спорта, и, в то же время, мало внимания уделяют совершенствованию техники, тактики и психологической подготовки. Уделяя много внимания развитию силовых качеств, они упускают совершенствование таких важных комплексных способностей как координация движений, двигательная понятливость (ловкость).
Однако известно, что применение тренировочных средств со сложной координационной структурой, в том числе специализированных и подвижных игр существенно влияет на повышение уровня технико-тактических умений.
Такая односторонность в тренировочном процессе является недопустимой ошибкой в видах спорта с преимущественно «открытыми» навыками, где непрерывно и быстро изменяются ситуации, требующие немедленного реагирования, принятия новых тактических решений, оценки возникающих ситуаций, учета движений соперника, полета мяча и т. д. Результаты научных исследований показывают, что значение «психодвигательных» способностей отчетливо возрастает вместе со спортивным стажем и что зависимость спортивных результатов от этих факторов очень высокая. Доказательством этого важного наблюдения является факт, что двигательная деятельность футболиста характеризуется комплексностью, детерминированностью и кооперативностью. Прежде всего она обусловлена динамической структурой связей: игрок – партнер – поле – соперник – мяч, а также постоянной сменой ситуаций в нападении и обороне. Действия спортсмена во время игры должны быть очень рациональными в отношении постоянно возникающих неповторимых и относительно не связанных между собой игровых ситуаций в матче.
К числу важных и неотложных задач следует отнести разработку системы ранней диагностики (т. е. конструкции точных и достоверных прогностических тестов), которая давала бы возможность не только оценивать состояние и перспективы спортсмена, но и формулировать рекомендации, касающиеся организации тренировочного процесса, с учетом индивидуальных особенностей.
То, что сейчас называется ранней специализацией, означает ранний выбор направления многолетней тренировки, а не быстрое достижение высоких спортивных результатов. Тренировочный процесс должен быть так построен, чтобы он соответствовал индивидуальным особенностям молодого спортсмена. Следует нормировать нагрузки, подбирать соответствующие средства, чтобы еще более эффективно развивать генетически обусловленные возможности спортсмена. Это очень актуален, и от того, как будет решаться эта проблема, будет зависеть состояние дел в тренировочной работе.
Более 800 000 книг и аудиокниг! 📚
Получи 2 месяца Литрес Подписки в подарок и наслаждайся неограниченным чтением
ПОЛУЧИТЬ ПОДАРОК